logo Mechanische Verfahren Kommunaler Abwassertechnik

3. Sandfang


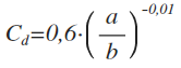
Formel 14:
Formel 14



Eingabe Zeichen Wert Einheit Bemerkungen
Höhe der Basis a_b m
Breite der Basis b_b m


Beiwert C_d - für Formel 13


home
Kapitel
zurück
nächste