logo Mechanische Verfahren Kommunaler Abwassertechnik

6. Lamellen


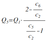
Formel 05:
Formel 05



Eingabe Zeichen Wert Einheit Bemerkungen
Zulauf Q_1 m3/h Abwasser
Konzentration Anströmung c_2 kg/m3
Konzentration Rezirkulation c_5 kg/m3 intern
Konzentration RLS c_6 kg/m3


Unterströmung Q_5 m3/h unter Lamellen


home
Kapitel
zurück