logo Mechanische Verfahren Kommunaler Abwassertechnik

8. Nachklärung


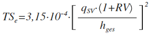
Formel 01:
Formel 01



Eingabe Zeichen Wert Einheit Bemerkungen
Schlammvolumenbeschickung q_SV l/m2/h
Rücklaufverhältnis RV -
Wassertiefe h_ges m


abfiltrierbare Stoffe TS_e mg/l im Ablauf


home
Kapitel
zurück
nächste